Chaebol
A term your representatives and you should know
First, I want to express my disappointment in the board members approving the amendment to land zoning to the buyers of Mayor Rydell's family members land sale. You had an opportunity to represent all of your constituents and you failed. You were aware of all of this information well ahead of the meeting as shown here by one of your constituents.
To Mr. Kitsmiller, I too see Taylor as a little slice of heaven away from the big city life that is just draining. I thank you first for reading, and also for your post proving even further that the council was aware of my reporting. I also see that like myself, they did not respond to you. Seems like the tough issues they aren't capable of handling. Gives you faith that handling a multi-billion dollar contract with a global Chaebol with a net worth over $325 Billion was handled in a more responsive way.
Now that I've used the word, seems like it needs a definition. Put simply, a Chaebol is the term which defines a handful of very powerful companies in South Korea that are family run and are responsible for the majority of GDP in the country. As a result they have massive influence over the politicians and policies of that country. Chaebol is a system that came about as a result of the Korean War. After the war, the country was in massive debt and had soaring inflation due to the massive printing of money. In order to fight the inflation and rebuild their production capabilities destroyed during the war, the government started giving massive financial incentives to private companies. The government picked a handful of family businesses to distribute the incentives to including raw materials, commodities, and loans. Even though the government was giving these incentives, they did not have much oversight into how the resources and finances were being spent. As a result, this led to a series of corruption scandals and outsiders seeing the system as flawed and corrupted. https://en.wikipedia.org/wiki/Chaebol
Any of this sound familiar?
https://www.ci.taylor.tx.us/644/Economic-Development
So why are you hearing about this for the first time you might be asking yourself right now? Well, that's the good question. A simple search for “Samsung corruption” is what originally led me to the term in a matter of clicks. Why haven't local news outlets written on this and ask the representatives how they are making sure these practices aren't involved in the contracts that are being put in place? Also good questions. The Taylor press has no articles that mention the term.
The Austin Statesman does, but it only involves an article written when Samsung's CEO was accused of Bribery. The second result just has a link to the first in it.
Here’s a link to that article from the search. (https://web.archive.org/web/20220818154947/https://www.statesman.com/story/news/2017/01/19/samsungs-troubles-roil-tech-giants-already-complicated-relationship-with-its-home-country/10172591007/)
If you didn't read the statesman article, it covers the accusations of bribery and embezzlement in millions of dollars against the defacto head of Samsung at the time. However, the statesman never followed up to show that he actually was convicted of Bribery and it was upheld by the South Korean Supreme Court in January of 2021. The BBC did report on it here: https://web.archive.org/web/20220812161842/https://www.bbc.com/news/business-55674712
This also just happens to be during the same time frame all of the Samsung Request For Information (RFI)s started.
But back to the BBC article with the upheld convictions... Something caught my eye in the third paragraph of this stanza…
Isn't it interesting that the bribery charges stem from donations funneled through non-profit entities in order to influence government decision making? Surely none of the Samsung contracts with the public parties would have any kind of non-profit donations coming from Samsung as part of this deal...
Well according to the Chapter 380 filing with the City, there is. In fact it will be AT LEAST $300,000 a year for the duration of the contract.
And here's a city council member advertising it.
Surely there aren't any conflicts of interest involved here… Well, old Silence would be wrong…
Seems the Taylor Economic Development Corp is a 501(c)3 that would be eligible for those funds since they can claim they operate for the “betterment of the community”. Here are their IRS 990 tax filings showing as a 501(c)3: https://apps.irs.gov/pub/epostcard/cor/742719298_201909_990_2020100817361899.pdf
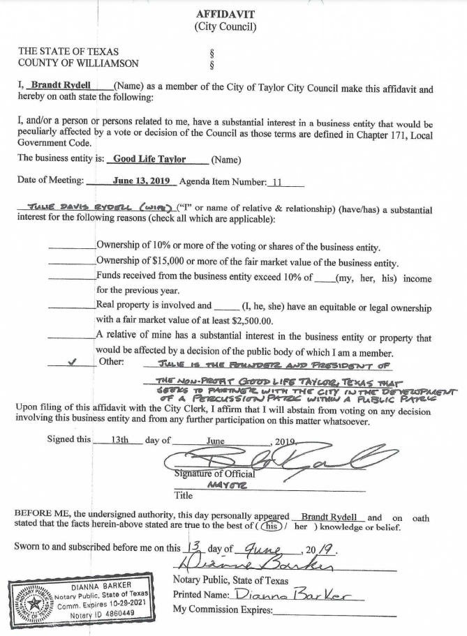
There is also Mayor Rydell's wife's non-profit “Good Life Taylor” which the Mayor did submit a conflict of interest disclosure on (thanks to an anonymous source for this).
Now this is where old Silence gets really concerned. I originally could only find records of this charity in the form of a sparsely-responsive site at https://www.goodlifetaylor.com. Here's an archive to actually see it in case it is not as responsive for you as it was myself. https://web.archive.org/web/20220118201929/http://www.goodlifetaylor.com/
The about us page states this is a 501(c)3.
So does the Taylor Chamber of commerce website:
http://www.taylorchamber.org/list/member/good-life-taylor-tx-140
I could not find a charitable organization with this name registered with the IRS, however, another anonymous source helped identify a little name swap going on with this non-profit. The organization is actually registered as GL76574, not Good Life Taylor as described in the conflict of interest disclosures and website.
It's existed per its archived about us page (from 2016) since 2012...
https://apps.irs.gov/app/eos/detailsPage?ein=813536052&name=Gl76574&city=Taylor&state=TX&countryAbbr=US&dba=&type=CHARITIES,%20DETERMINATIONLETTERS,%20EPOSTCARD&orgTags=CHARITIES&orgTags=DETERMINATIONLETTERS&orgTags=EPOSTCARD
The IRS only shows approval of tax exempt status as of 2016, and since they claim less than 50k a year, are not required to submit a full 990.
I look forward to seeing which non-profits get the first round of monies from Samsung. If there isn’t transparency, it will have to be reported in the next 2 years. Silence is patient. We will find out who gets it.
To wrap up today, I'm aware of council members asking why I'm staying anonymous... Well, its simple. I know not to go face to face with a Chaebol. I also wanted to document this on something off the controlled social media outlets so that this doesn't happen to me trying to inform the public:
Angelica – know that my resolve to expose things is only enhanced when I see things like what happened to you. I hope it has enhanced your resolve as well. You are NOT ALONE. The site statistics don’t lie.
Want to help drive change?
Get friends and family to subscribe.
Got a good piece of evidence? Email it to exposetaylor@proton.me.
Send this to the council members AND Taylor Press/Austin American Statesman. All of them have seen my reporting. To the press that will get this forwarded to them, shame on you for not doing your jobs. The following should be what guides you in your jobs:
A well-instructed people alone can be permanently a free people.
The advancement and diffusion of knowledge is the only guardian of true liberty.
--James Madison
Silence Dogood














https://thetexan.news/samsung-facility-brings-zoning-fight-to-taylor-as-mayors-family-benefits-while-other-landowners-lose-out/